Κρούσματα σήμερα: Υψηλά η Αττική 1.670 νέες μολύνσεις - Αναλυτικά η διασπορά στην επικράτεια
Κρούσματα: Ελαφρώς πτωτικά κινούνται οι νέες μολύνσεις στην Αττική το τελευταίο 24ωρο - Υψηλά αλλά με πτώση και στην Θεσσαλονίκη
Ο ΕΟΔΥ ανακοίνωσε την Τετάρτη (7/4) 3.445 νέα κρούσματα, τα οποία κυμαίνονται αρκετά πιο χαμηλά από το προηγούμενο 24ωρο. Οι διασωληνωμένοι ασθενείς στις ΜΕΘ φτάνουν τους 749 ενώ οι συμπολίτες μας που έχασαν τη ζωή τους, φτάνουν τους 75.
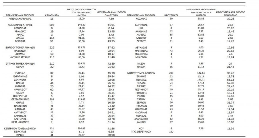
Η Αττική συνεχίζει να είναι η περιοχή με τα περισσότερα κρούσματα σε όλη την περιφέρεια καταμετρώντας σήμερα 1.670 νέα. Το κέντρο της Αθήνας αντιμετωπίζει το μεγαλύτερο πρόβλημα με 431, ενώ ακολουθεί ο Πειραιάς και ο Βόρειος Τομέας Αθηνών με 261 και 22 αντίστοιχα.
Τα κρούσματα ανά τομέα στην Αττική
- Ανατολική Αττική 206
- Βόρειος Τομέας Αθηνών 222
- Δυτική Αττική 115
- Δυτικός Τομέας Αθηνών 210
- Κεντρικός Τομέας Αθηνών 431
- Νήσοι 16
- Νότιος Τομέας Αθηνών 209
- Πειραιάς 261
Τα κρούσματα ανά Περιφερειακή Ενότητα
Η βόρεια Ελλάδα συνεχίζει να έχει μεγάλη διασπορά με επίκεντρο την Θεσσαλονίκη, όπου ο ΕΟΔΥ ανακοίνωσε 398 νέα κρούσματα. Ακολουθεί η Αχαϊα η οποία επίσης κινείται πτωτικά με 114 νέες μολύνσεις και η Λάρισα με 85.
ΑΙΤΩΛΟΑΚΑΡΝΑΝΙΑΣ 16
ΚΟΖΑΝΗΣ 59
ΑΝΑΤΟΛΙΚΗΣ ΑΤΤΙΚΗΣ 206
ΚΟΡΙΝΘΙΑΣ 37
ΑΡΓΟΛΙΔΑΣ 8
ΚΩ 8
ΑΡΚΑΔΙΑΣ 29
ΛΑΚΩΝΙΑΣ 12
ΑΡΤΑΣ 3
ΛΑΡΙΣΑΣ 85
ΑΧΑΪΑΣ 114
ΛΑΣΙΘΙΟΥ 2
ΒΟΙΩΤΙΑΣ 51
ΛΕΣΒΟΥ 11
ΒΟΡΕΙΟΥ ΤΟΜΕΑ ΑΘΗΝΩΝ 222
ΛΕΥΚΑΔΑΣ 3
ΓΡΕΒΕΝΩΝ 7
ΜΑΓΝΗΣΙΑΣ 43
ΔΡΑΜΑΣ 10
ΜΕΣΣΗΝΙΑΣ 4
ΔΥΤΙΚΗΣ ΑΤΤΙΚΗΣ 115
ΜΥΚΟΝΟΥ 2
ΔΥΤΙΚΟΥ ΤΟΜΕΑ ΑΘΗΝΩΝ 210
ΝΑΞΟΥ 5
ΕΒΡΟΥ 32
ΝΗΣΩΝ 16
ΕΥΒΟΙΑΣ 32
ΝΟΤΙΟΥ ΤΟΜΕΑ ΑΘΗΝΩΝ 209
ΕΥΡΥΤΑΝΙΑΣ 8
ΞΑΝΘΗΣ 22
ΖΑΚΥΝΘΟΥ 9
ΠΕΙΡΑΙΩΣ 261
ΗΛΕΙΑΣ 41
ΠΕΛΛΑΣ 74
ΗΜΑΘΙΑΣ 20
ΠΙΕΡΙΑΣ 31
ΗΡΑΚΛΕΙΟΥ 62
ΡΕΘΥΜΝΟΥ 19
ΘΑΣΟΥ 5
ΡΟΔΟΠΗΣ 21
ΘΕΣΠΡΩΤΙΑΣ 5
ΡΟΔΟΥ 15
ΘΕΣΣΑΛΟΝΙΚΗΣ 398
ΣΑΜΟΥ 1
ΘΗΡΑΣ 2
ΣΕΡΡΩΝ 56
ΙΩΑΝΝΙΝΩΝ 41
ΤΡΙΚΑΛΩΝ 10
ΚΑΒΑΛΑΣ 43
ΦΘΙΩΤΙΔΑΣ 23
ΚΑΛΥΜΝΟΥ 19
ΦΛΩΡΙΝΑΣ 6
ΚΑΡΔΙΤΣΑΣ 29
ΦΩΚΙΔΑΣ 3
ΚΑΣΤΟΡΙΑΣ 17
ΧΑΛΚΙΔΙΚΗΣ 12
ΚΕΑΣ - ΚΥΘΝΟΥ 2
ΧΑΝΙΩΝ 17
ΚΕΝΤΡΙΚΟΥ ΤΟΜΕΑ ΑΘΗΝΩΝ 431
ΧΙΟΥ 6
ΚΕΡΚΥΡΑΣ 10
ΥΠΟ ΔΙΕΡΕΥΝΗΣΗ 122
Κατανομή ανακοινωθέντων εγχώριων κρουσμάτων: Από το σύνολο των 3.445 νέων κρουσμάτων του νέου ιού στη χώρα 12 είναι εισαγόμενα εκ των οποίων 9 εντοπίστηκαν κατόπιν ελέγχων στις πύλες εισόδου της χώρας. Η κατανομή των 3.433 νέων εγχώριων κρουσμάτων ανά Περιφερειακή Ενότητα παρουσιάζεται στον κατωτέρω πίνακα.

Γεωγραφική διασπορά: Ο χάρτης αποτυπώνει τη γεωγραφική κατανομή των συνολικών κρουσμάτων COVID-19 (από την αρχή της επιδημίας) ανά Περιφερειακή Ενότητα της χώρας, με βάση την δηλωθείσα διεύθυνση μόνιμης κατοικίας του ασθενούς, ή τη διεύθυνση προσωρινής διαμονής για τους τουρίστες και άλλους προσωρινά διαμένοντες στην Ελλάδα. Συμπεριλαμβάνονται τόσο κρούσματα με ιστορικό ταξιδίου (“εισαγόμενα”) όσο και κρούσματα με πιθανή εγχώρια μετάδοση.

