Κορονοϊός: 20.000 θανάτους απέτρεψε ο εμβολιασμός - Αποκαλυπτική μελέτη Τσιόδρα - Λύτρα
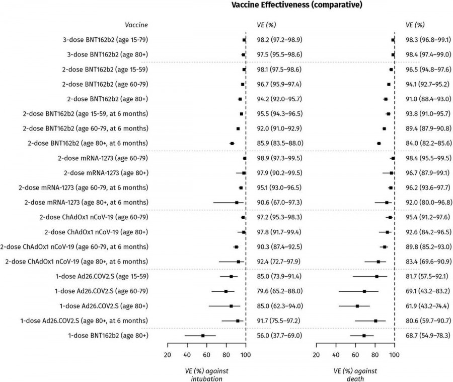
Η μελέτη κατέδειξε ότι η αποτελεσματικότητα των εμβολίων έναντι βαριάς νόσου και θανάτου είναι υψηλή και παρόμοια σε όλες τις ηλικίες, με ελάχιστα χαμηλότερη στα άτομα άνω των 80 ετών, ενώ φθίνει με το πέρασμα του χρόνου.
Περί τους 20.000 θανάτους από επιπλοκές της Covid-19 απέτρεψε ο εμβολιασμός έναντι της λοίμωξης που προκαλεί ο κορονοϊός, σύμφωνα με νέα προδημοσιευμένη μελέτη των καθηγητών Σωτήρη Τσιόδρα και Θεόδωρου Λύτρα, που διεξήχθη κατά την περίοδο 11 Ιανουαρίου 2020 – 8 Δεκεμβρίου 2021.
Η μελέτη κατέδειξε ότι η αποτελεσματικότητα των εμβολίων έναντι βαριάς νόσου και θανάτου είναι υψηλή και παρόμοια σε όλες τις ηλικίες, με ελάχιστα χαμηλότερη στα άτομα άνω των 80 ετών, ενώ φθίνει με το πέρασμα του χρόνου. Ωστόσο, το μέγεθος της φθοράς είναι πολύ μικρό, καθώς η αποτελεσματικότητα παραμένει μεγαλύτερη του 80% στους 6 μήνες από τη 2η δόση και επανέρχεται κοντά στο 100% με την 3η δόση.
Η μελέτη
Κατά τη διάρκεια της μελέτης, χορηγήθηκαν συνολικά 14.676.605 δόσεις εμβολίων στην Ελλάδα (11.427.784 BNT162b2/Pfizer, 1.161.905 mRNA-1273/Moderna, 1.505.334 ChAdOx1 nCoV-19/ AstraZeneca και 581,582 Ad26.COV2.S/ Janssen) σε άτομα ηλικίας 15 ετών και άνω και καταγράφηκαν 9.100 διασωληνώσεις και 14.755 θάνατοι, σύμφωνα με τα στοιχεία του ΕΟΔΥ.
«Ο εμβολιασμός μειώνει τόσο “θεαματικά” τον κίνδυνο θανάτου από COVID19, ώστε μέχρι τις 8 Δεκεμβρίου εκτιμούμε πως έχει προλάβει 19.691 θανάτους!! (95% CI 18.890-20.788). Δηλαδή τόσους “επιπλέον” θανάτους θα αναμέναμε αν δεν είχαμε τον εμβολιασμό. Με απλά λόγια, τούτο προκύπτει συγκρίνοντας την κατά ηλικία θνησιμότητα εμβολιασμένων και ανεμβολίαστων, και εφαρμόζοντας την τελευταία σε όλο τον πληθυσμό» αναφέρει σε ανάρτησή του ο καθηγητής Θεόδωρος Λύτρας.
Σύμφωνα με τον ίδιο, η μελέτη καταδεικνύει την τεράστια προστασία που προσφέρουν όλα τα εμβόλια και την ικανότητα τους να σώζουν πολυάριθμες ζωές.
Όπως επισημαίνει, υπάρχουν δυστυχώς αρκετοί εμβολιασμένοι που αρρωσταίνουν βαριά και πεθαίνουν, όμως: (α) είναι αριθμητικά πολύ λιγότεροι (βλ. τον παρακάτω πίνακα) (β) ο παρονομαστής (σύνολο εμβολιασμένων επί χρόνο παρακολούθησης) είναι πολύ μικρότερος (αν και μεγαλώνει, καθώς αυξάνεται η εμβολιαστική κάλυψη). (γ) υπάρχει εντονότατο συγχυτικό σφάλμα λόγω ηλικίας, καθώς οι εμβολιασμένοι έχουν υψηλότερο Μ.Ο ηλικίας από τους ανεμβολίαστους.
«Το (β)+(γ) σημαίνει ότι οι απλές αριθμητικές συγκρίσεις (εμβολιασμένοι/ανεμβολίαστοι που πέθαναν/διασωληνώθηκαν), που είναι πολύ της μόδας, υποτιμούν σοβαρά την αποτελεσματικότητα των εμβολίων. Δηλαδή οι εμβολιασμένοι έχουν ακόμη χαμηλότερο κίνδυνο από αυτόν που υπονοούν τέτοιες συγκρίσεις» εξηγεί ο κ. Λύτρας.

«Η διαφορά είναι τόσο μεγάλη ώστε (πολύ αδρά) ένας εμβολιασμένος 85άρης κινδυνεύει να πεθάνει από COVID19 όσο ένας ανεμβολίαστος 50άρης, κι ένας εμβολιασμένος 50άρης όσο ένας ανεμβολίαστος 25άρης» αναφέρει ο καθηγητής.
Ο ίδιος τονίζει ότι το εμβόλιο είναι μακράν το ισχυρότερο όπλο μας έναντι της πανδημίας, σημειώνοντας ωστόσο ότι χρειάζεται και δεύτερη γραμμή άμυνας, το σύστημα υγείας.
Σύγκριση
Στο παρακάτω διάγραμμα φαίνεται πόσο αποκλίνουν οι καμπύλες παρατηρούμενης και αναμενόμενης θνητότητας καθώς αυξάνεται η εμβολιαστική κάλυψη του πληθυσμού:

Παρόμοια η αποτελεσματικότητα όλων των εμβολίων
Τα αποτελέσματα της μελέτης κατέδειξαν ότι οι δύο δόσεις εμβολίου προσέφεραν περισσότερο από 90% προστασία από διασωλήνωση και θάνατο σε όλες τις ηλικιακές ομάδες, με οριακά χαμηλότερη προστασία σε άτομα 80 ετών και άνω. Η αποτελεσματικότητα κατά του θανάτου ήταν παρόμοια τόσο για την παραλλαγή Δέλτα όσο και για τις προηγουμένως κυκλοφορούσες παραλλαγές (δεν συμπεριλαμβάνεται η περίοδος κυκλοφορίας της Όμικρον), και ελαφρώς υψηλότερη έναντι της διασωλήνωσης από την παραλλαγή Δέλτα.
Ωστόσο, η αποτελεσματικότητα 2 δόσεων μειώθηκε ελαφρώς με την πάροδο του χρόνου, ενώ εξακολουθούσε να είναι πάνω από 80% στους 6 μήνες και η 3η δόση του εμβολίου την προήγαγε κοντά στο 100%, ακόμη και στη μεγαλύτερη ηλικιακή ομάδα. Η αποτελεσματικότητα μίας δόσης, αν και σημαντικά χαμηλότερη, ήταν επαρκής για να μειώσει στο μισό τον κίνδυνο διασωλήνωσης και θανάτου, σε σύγκριση με τους μη εμβολιασμένους

Tα εμβόλια
Τα εμβόλια BNT162b2, mRNA-1273 και ChAdOx1 nCoV-19 έδειξαν παρόμοια και πολύ υψηλή αποτελεσματικότητα (>90%) σε όλες τις ηλικιακές ομάδες, με μια ελαφρά μείωση με την πάροδο του χρόνου που ήταν οριακά καλύτερη με το mRNA-1273, ιδιαίτερα στους νεαρότερους ενήλικες.
Αντίθετα, μία δόση Ad26.COV2.S προσέφερε σημαντικά λιγότερη προστασία έναντι της διασωλήνωσης ή του θανάτου κατά τον πρώτο μήνα μετά τον εμβολιασμό, ωστόσο, η αποτελεσματικότητα αυξήθηκε και στους 6 μήνες ήταν συγκρίσιμη με εκείνη των 2 δόσεων των άλλων εμβολίων.
«Η μελέτη επιβεβαιώνει το τεράστιο ατομικό και συλλογικό όφελος από τον εμβολιασμό κατά της COVID19 κι αυτό μάλιστα καταδεικνύεται σε ελληνικό πληθυσμό. Γι’ αυτό εμβολιαζόμαστε με 3 δόσεις, σύμφωνα με τις οδηγίες. Κι αν είμαστε ανεμβολίαστοι, ξεκινούμε “χθες”» αναφέρει ο κ. Λύτρας.

Σύμφωνα με τον ίδιο, περαιτέρω ερωτήματα προς μελέτη στο μέλλον είναι το αν και πόσο η παραλλαγή Όμικρον επηρεάζει την αποτελεσματικότητα έναντι βαριάς νόσου και θανάτου, καθώς και το πόσο διαρκεί η προστασία της 3ης δόσης έναντι βαριάς νόσου και θανάτου.
Ειδήσεις από την Ελλάδα και τον Κόσμο, τη στιγμή που συμβαίνουν, στο Newsbomb.gr.