Κρούσματα σήμερα: 12.518 νέα ανακοίνωσε ο ΕΟΔΥ - 50 θάνατοι και 361 διασωληνωμένοι
Κορονοϊός - Όλες οι ειδήσεις: Το Σάββατο 9 Απριλίου 2022, ο ΕΟΔΥ ανακοίνωσε, 12.518 νέα κρούσματα του ιού στη χώρα
Τα νέα εργαστηριακά επιβεβαιωμένα κρούσματα της νόσου(άτομα) που καταγράφηκαν τις τελευταίες 24 ώρες ήταν 12.518. Ο συνολικός αριθμός των ατόμων που νόσησαν ανέρχεται σε 3.164.995 (ημερήσια μεταβολή +0.4%), εκ των οποίων 49.0% άνδρες.
Ο αριθμός πιθανών νέων επαναλοιμώξεων που καταγράφηκαν τις τελευταίες 24 ώρες ήταν 232 ενώ από την αρχή της πανδημίας SARS-CoV-2 ο συνολικός αριθμός εκτιμάται σε 118.767(3.6% του συνολικού αριθμού των θετικών αποτελεσμάτων.
Στο παρακάτω διάγραμμα παρουσιάζεται η ημερήσια κατανομή των επιβεβαιωμένων κρουσμάτων(ατόμων) και ο 7ήμερος κυλιόμενος μέσος όρος του αριθμού των κρουσμάτων.

Στο Διάγραμμα 2 παρουσιάζεται ο αριθμός των επαναλοιμώξεων ανά ημερομηνία λήψης δείγματος και ο 7ήμερος κυλιόμενος μέσος όρος των επαναλοιμώξεων.

Οι νέοι θάνατοι ασθενών με COVID-19 είναι 50, ενώ από την έναρξη της επιδημίας έχουν καταγραφεί συνολικά 28.076 θάνατοι. Το 95.4% είχε υποκείμενο νόσημα ή/και ηλικία 70 ετών και άνω. Στο Διάγραμμα 3 παρουσιάζεται η ημερήσια κατανομή των θανάτων και ο 7ήμερος κυλιόμενος μέσος όρος του αριθμού των θανάτων.

Ηλικιακή κατανομή των νέων θανάτων ασθενών με COVID-19 (Ποσοστό στο σύνολο των νέων θανάτων).

Ο αριθμός των ασθενών που νοσηλεύονται διασωληνωμένοι είναι 361 (65.9% άνδρες). Η διάμεση ηλικία τους είναι 70 έτη. To 92.2% έχει υποκείμενο νόσημα ή/και ηλικία 70 ετών και άνω. Μεταξύ των ασθενών που νοσηλεύονται διασωληνωμένοι, 200 (55.4%) είναι ανεμβολίαστοι ή μερικώς εμβολιασμένοι και 161 (44.6%) είναι πλήρως εμβολιασμένοι. Από την αρχή της πανδημίας έχουν εξέλθει από τις ΜΕΘ 4.509 ασθενείς. Οι εισαγωγές νέων ασθενών COVID-19 στα νοσοκομεία της επικράτειας είναι 340 (ημερήσια μεταβολή -0.87%). Ο μέσος όρος εισαγωγών του επταημέρου είναι 369 ασθενείς.Η διάμεση ηλικία των κρουσμάτων είναι 36 έτη (εύρος 0.2 έως 112 έτη), ενώ η διάμεση ηλικία των θανόντων είναι 79 έτη (εύρος 0.2 έως 106 έτη).
Ηλικιακή Κατανομή κρουσμάτων, νοσηλευόμενων στις MEΘ και ασθενών που απεβίωσαν από την αρχή της πανδημίας.

Ακολούθως παρουσιάζεται η ηλικιακή κατανομή των (α) συνολικών κρουσμάτων, (β) των περιστατικών που κατέληξαν σε θάνατο και (γ) των ασθενών που νοσηλεύονται διασωληνωμένοι:

Κατανομή ανακοινωθέντων εγχώριων κρουσμάτων: Από το σύνολο των 12.750 νέων κρουσμάτων του νέου ιού στη χώρα 5 είναι εισαγόμενα.
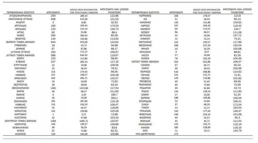
Ημερήσιος αριθμός και κρούσματα ανά 100.000 πληθυσμού επιβεβαιωμένων εγχώριων κρουσμάτων COVID-19 ανά περιφερειακή ενότητα στις 09 Απριλίου 2022.

Δείγματα που έχουν ελεγχθεί: Από την 1η Ιανουαρίου 2020 μέχρι σήμερα, στα εργαστήρια που διενεργούν ελέγχους για τον νέο κορωνοϊό (SARS-CoV-2) και που δηλώνουν συστηματικά το σύνολο των δειγμάτων που ελέγχουν, έχουν συνολικά ελεγχθεί 10.735.875 κλινικά δείγματα ενώ από Μονάδες Υγείας και Κλιμάκια του ΕΟΔΥ που διενεργούν ελέγχους Rapid Ag έχουν ελεγχθεί 65.627.871 δείγματα. O μέσος όρος του επταημέρου είναι 241.198 δειγματοληπτικοί έλεγχοι.
Αυτοδιαγνωστικοί έλεγχοι (Self-tests): Έως 08 Απριλίου 2022, έχουν καταγραφεί ηλεκτρονικά 104.034.246 δηλώσεις αποτελέσματος αυτοδιαγνωστικού ελέγχου,ενώ 6.293.101 άτομα προσήλθαν για επανέλεγχο.
Mαζικές Δειγματοληψίες ΕΟΔΥ: Στις 08 Απριλίου 2022, πραγματοποιήθηκαν 170 δράσεις δειγματοληπτικών ελέγχων από τις Κινητές Ομάδες Υγείας (ΚΟΜΥ) του ΕΟΔΥ, στις οποίες διενεργήθηκαν 21.444 έλεγχοι Rapid Ag και ανευρέθηκαν 2.756 θετικά (12.85%).


Γεωγραφική διασπορά: Ο χάρτης αποτυπώνει τη γεωγραφική κατανομή των κρουσμάτων COVID-19 των τελευταίων 14 ημερών ανά Περιφερειακή Ενότητα της χώρας, με βάση την δηλωθείσα διεύθυνση μόνιμης κατοικίας του ασθενούς, ή τη διεύθυνση προσωρινής διαμονής για τους τουρίστες και άλλους προσωρινά διαμένοντες στην Ελλάδα.
Συμπεριλαμβάνονται τόσο κρούσματα με ιστορικό ταξιδίου (“εισαγόμενα”) όσο και κρούσματα με πιθανή εγχώρια μετάδοση.
