Κρούσματα σήμερα: 4.345 νέα ανακοίνωσε ο ΕΟΔΥ - 63 θάνατοι και 684 διασωληνωμένοι
Πού εντοπίζονται τα νέα κρούσματα σήμερα Σάββατο (18/12) - Η ενημέρωση του Εθνικού Οργανισμού Δημόσιας Υγείας (ΕΟΔΥ)
Σήμερα, Σάββατο 18 Δεκεμβρίου, ο Εθνικός Οργανισμός Δημόσιας Υγείας ανακοίνωσε 4.345 νέα περιστατικά Covid-19 στην Ελλάδα. Παράλληλα, σύμφωνα με την ενημέρωση του ΕΟΔΥ, 684 ασθενείς βρίσκονται διασωληνωμένοι στις ΜΕΘ, ενώ έχουν καταγραφεί 63 νέοι θάνατοι.
Ειδικότερα, τα νέα εργαστηριακά επιβεβαιωμένα κρούσματα της νόσου που καταγράφηκαν τις τελευταίες 24 ώρες είναι 4.345, εκ των οποίων11 εντοπίστηκαν κατόπιν ελέγχων στις πύλες εισόδου της χώρας.
Ο συνολικός αριθμός των κρουσμάτων ανέρχεται σε 1.031.239 (ημερήσια μεταβολή +0.4%), εκ των οποίων 50.5% άνδρες. Με βάση τα επιβεβαιωμένα κρούσματα των τελευταίων 7 ημερών, 207 θεωρούνται σχετιζόμενα με ταξίδι από το εξωτερικό και 3.409 είναι σχετιζόμενα με ήδη γνωστό κρούσμα.
Ημερήσια εξέλιξη της πανδημίας: Η ημερήσια κατανομή των επιβεβαιωμένων κρουσμάτων είναι η ακόλουθη (η γραμμή παριστάνει την συνολική, αθροιστική κατανομή των κρουσμάτων).

Οι νέοι θάνατοι ασθενών με COVID-19 είναι 63, ενώ από την έναρξη της επιδημίας έχουν καταγραφεί συνολικά 19.799 θάνατοι. Το 95.3% είχε υποκείμενο νόσημα ή/και ηλικία 70 ετών και άνω.

Η διαχρονική εξέλιξη των συνολικών κρουσμάτων και συνολικού αριθμού των θανάτων ασθενών COVID-19 παρουσιάζεται στο ακόλουθο διάγραμμα.

Ο αριθμός των ασθενών που νοσηλεύονται διασωληνωμένοι είναι 684 (59.6% άνδρες). Η διάμεση ηλικία τους είναι 64 έτη. To 81.3% έχει υποκείμενο νόσημα ή/και ηλικία 70 ετών και άνω. Μεταξύ των ασθενών που νοσηλεύονται διασωληνωμένοι, 561 (82.02%) είναι ανεμβολίαστοι ή μερικώς εμβολιασμένοι και 123 (17.98%) είναι πλήρως εμβολιασμένοι. Από την αρχή της πανδημίας έχουν εξέλθει από τις ΜΕΘ 3.661 ασθενείς.
Οι εισαγωγές νέων ασθενών Covid-19 στα νοσοκομεία της επικράτειας είναι 332 (ημερήσια μεταβολή +4.08%). Ο μέσος όρος εισαγωγών του επταημέρου είναι 352 ασθενείς.Η διάμεση ηλικία των κρουσμάτων είναι 38 έτη (εύρος 0.2 έως 106 έτη), ενώ η διάμεση ηλικία των θανόντων είναι 78 έτη (εύρος 0.2 έως 106 έτη).
Διάγραμμα 4: Ηλικιακή Κατανομή κρουσμάτων, νοσηλευόμενων στις MEΘ και ασθενών που απεβίωσαν από την αρχή της πανδημίας

Ακολούθως παρουσιάζεται η ηλικιακή κατανομή των (α) συνολικών κρουσμάτων, (β) των περιστατικών που κατέληξαν σε θάνατο και (γ) των ασθενών που νοσηλεύονται διασωληνωμένοι:

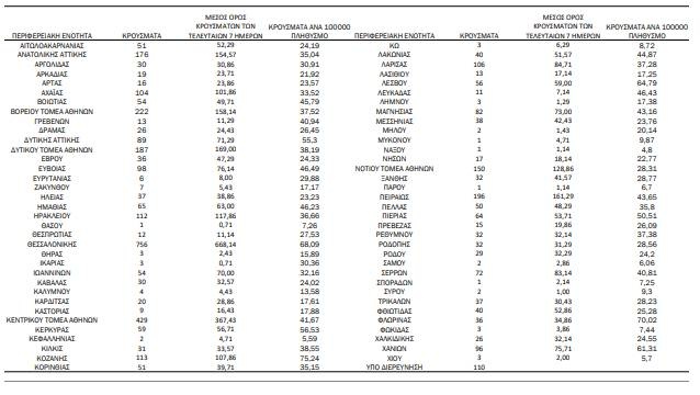
Κατανομή ανακοινωθέντων εγχώριων κρουσμάτων: Από το σύνολο των 4.345 νέων κρουσμάτων του νέου ιού στη χώρα 18 είναι εισαγόμενα εκ των οποίων 11 εντοπίστηκαν κατόπιν ελέγχων στις πύλες εισόδου της χώρας . Η κατανομή των 4.327 νέων εγχώριων κρουσμάτων ανά Περιφερειακή Ενότητα παρουσιάζεται στον κατωτέρω πίνακα.
Πίνακας 2: Ημερήσιος αριθμός και κρούσματα ανά 100.000 πληθυσμού επιβεβαιωμένων εγχώριων κρουσμάτων COVID-19 ανά περιφερειακή ενότητα στις 18 Δεκεμβρίου 2021.

Δείγματα που έχουν ελεγχθεί: Από την 1η Ιανουαρίου 2020 μέχρι σήμερα, στα εργαστήρια που διενεργούν ελέγχους για τον νέο κορωνοϊό (SARS-CoV-2) και που δηλώνουν συστηματικά το σύνολο των δειγμάτων που ελέγχουν, έχουν συνολικά ελεγχθεί 7.866.103 κλινικά δείγματα ενώ από Μονάδες Υγείας και Κλιμάκια του ΕΟΔΥ που διενεργούν ελέγχους Rapid Ag έχουν ελεγχθεί 34.856.641 δείγματα. O μέσος όρος του επταημέρου είναι 332.240 δειγματοληπτικοί έλεγχοι.
Αυτοδιαγνωστικοί έλεγχοι (Self-tests): Έως 17 Δεκεμβρίου 2021, έχουν καταγραφεί ηλεκτρονικά 64.466.994 δηλώσεις αποτελέσματος αυτοδιαγνωστικού ελέγχου, ενώ 3.646.034 άτομα προσήλθαν για επανέλεγχο.
Mαζικές Δειγματοληψίες ΕΟΔΥ: Στις 17 Δεκεμβρίου 2021, πραγματοποιήθηκαν 173 δράσεις δειγματοληπτικών ελέγχων από τις Κινητές Ομάδες Υγείας (ΚΟΜΥ) του ΕΟΔΥ, στις οποίες διενεργήθηκαν 24.933 έλεγχοι Rapid Ag και ανευρέθηκαν 459 θετικά (1,84%).
Γεωγραφική διασπορά: Ο χάρτης αποτυπώνει τη γεωγραφική κατανομή των συνολικών κρουσμάτων COVID-19 (από την αρχή της επιδημίας) ανά Περιφερειακή Ενότητα της χώρας, με βάση την δηλωθείσα διεύθυνση μόνιμης κατοικίας του ασθενούς, ή τη διεύθυνση προσωρινής διαμονής για τους τουρίστες και άλλους προσωρινά διαμένοντες στην Ελλάδα. Συμπεριλαμβάνονται τόσο κρούσματα με ιστορικό ταξιδίου (“εισαγόμενα”) όσο και κρούσματα με πιθανή εγχώρια μετάδοση.


Ειδήσεις από την Ελλάδα και τον Κόσμο, τη στιγμή που συμβαίνουν, στο Newsbomb.gr.
Διαβάστε επίσης:
Τσίπρας σε Μητσοτάκη: Παραιτηθείτε και προκηρύξτε εκλογές
Επεισόδιο στη Βουλή Τσίπρα - Γεραπετρίτη: Αποχώρησαν οι βουλευτές του ΣΥΡΙΖΑ
Τελικός The Bachelor: Ο Αλέξης Παππάς επέλεξε την εκλεκτή της καρδιάς του
Παλαιό Ψυχικό: Δολοφονία ο θάνατος του ηθοποιού Στράτου Βαλσαμίδη