Κρούσματα σήμερα: 18.214 νέες μολύνσεις, 23 θάνατοι και 101 διασωληνωμένοι
Ο ΕΟΔΥ ανακοίνωσε τα νέα κρούσματα κορονοϊού για σήμερα Σάββατο 9 Ιουλίου 2022.
Τα στοιχεία που παρουσιάζονται αφορούν περιστατικά από την επιδημιολογική επιτήρηση της νόσου από το νέο κορωνοϊό (COVID-19), με βάση τα δεδομένα που έχουν δηλωθεί στον ΕΟΔΥ και καταγραφεί μέχρι τις 09 Ιουλίου 2022 (ώρα 09:00).
Τα νέα εργαστηριακά επιβεβαιωμένα κρούσματα της νόσου(άτομα) που καταγράφηκαν τις τελευταίες 24 ώρες ήταν 18.214. Ο συνολικός αριθμός των ατόμων που νόσησαν ανέρχεται σε 3.829.836 (ημερήσια μεταβολή +0.5%), εκ των οποίων 48.5% άνδρες. Ο αριθμός πιθανών νέων επαναλοιμώξεων που καταγράφηκαν τις τελευταίες 24 ώρες ήταν 3.895 ενώ από την αρχή της πανδημίας SARS-CoV-2 ο συνολικός αριθμός εκτιμάται σε 202.899(5.0% του συνολικού αριθμού των θετικών αποτελεσμάτων).
Οι νέοι θάνατοι ασθενών με COVID-19 είναι 23, ενώ από την έναρξη της επιδημίας έχουν καταγραφεί συνολικά 30.448 θάνατοι. Το 95.7% είχε υποκείμενο νόσημα ή/και ηλικία 70 ετών και άνω.
Ο αριθμός των ασθενών που νοσηλεύονται διασωληνωμένοι είναι 101 (62.4% άνδρες). Η διάμεση ηλικία τους είναι 73 έτη. To 92.1% έχει υποκείμενο νόσημα ή/και ηλικία 70 ετών και άνω. Μεταξύ των ασθενών που νοσηλεύονται διασωληνωμένοι, 36 (35.64%) είναι ανεμβολίαστοι ή μερικώς εμβολιασμένοι και 65 (64.36%) είναι πλήρως εμβολιασμένοι. Από την αρχή της πανδημίας έχουν εξέλθει από τις ΜΕΘ 4.742 ασθενείς. Οι εισαγωγές νέων ασθενών COVID-19 στα νοσοκομεία της επικράτειας είναι 365 (ημερήσια μεταβολή +0.83%). Ο μέσος όρος εισαγωγών του επταημέρου είναι 310 ασθενείς. Η διάμεση ηλικία των κρουσμάτων είναι 37 έτη (εύρος 0.2 έως 112 έτη), ενώ η διάμεση ηλικία των θανόντων είναι 80 έτη (εύρος 0.2 έως 106 έτη).


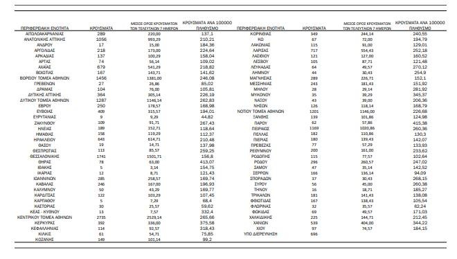
Κατανομή ανακοινωθέντων εγχώριων κρουσμάτων: Από το σύνολο των 22.109 νέων κρουσμάτων του νέου ιού στη χώρα είναι εισαγόμενα. Η κατανομή των 22.107 νέων εγχώριων κρουσμάτων ανά Περιφερειακή Ενότητα παρουσιάζεται στον κατωτέρω πίνακα.

Δείγματα που έχουν ελεγχθεί: Από την 1η Ιανουαρίου 2020 μέχρι σήμερα, στα εργαστήρια που διενεργούν ελέγχους για τον νέο κορονοϊό (SARS-CoV-2) και που δηλώνουν συστηματικά το σύνολο των δειγμάτων που ελέγχουν, έχουν συνολικά ελεγχθεί 11.770.584 κλινικά δείγματα ενώ από Μονάδες Υγείας και Κλιμάκια του ΕΟΔΥ που διενεργούν ελέγχους Rapid Ag έχουν ελεγχθεί 74.788.199 δείγματα. O μέσος όρος του επταημέρου είναι 130.602 δειγματοληπτικοί έλεγχοι.
Mαζικές Δειγματοληψίες ΕΟΔΥ: Στις 08 Ιουλίου 2022, πραγματοποιήθηκαν 174 δράσεις δειγματοληπτικών ελέγχων από τις Κινητές Ομάδες Υγείας (ΚΟΜΥ) του ΕΟΔΥ, στις οποίες διενεργήθηκαν 19.927 έλεγχοι Rapid Ag και ανευρέθηκαν 3.492
θετικά (17.52%).

Γεωγραφική διασπορά: Ο χάρτης αποτυπώνει τη γεωγραφική κατανομή των κρουσμάτων COVID-19 των τελευταίων 14 ημερών ανά Περιφερειακή Ενότητα της χώρας, με βάση την δηλωθείσα διεύθυνση μόνιμης κατοικίας του ασθενούς, ή τη διεύθυνση προσωρινής διαμονής για τους τουρίστες και άλλους προσωρινά διαμένοντες στην Ελλάδα. Συμπεριλαμβάνονται τόσο κρούσματα με ιστορικό ταξιδίου (“εισαγόμενα”) όσο και κρούσματα με πιθανή εγχώρια μετάδοση.
