Οι νικητές και οι χαμένοι των εκλογών στο... Twitter
Δείτε πώς σχολιάστηκαν τα αποτελέσματα των εκλογών - Τι μηνύματα έστειλε ο κόσμος για τη νίκη του ΣΥΡΙΖΑ και για τα ποσοστά των υπολοίπων κομμάτων
Στο τέταρτο μέρος της έρευνας, αποτυπώνονται οι αντιδράσεις για τα αποτελέσματα των εκλογών. Ποια κόμματα κυριάρχησαν, πως αντιμετωπίστηκε η νίκη του ΣΥΡΙΖΑ, τα ποσοστά ΝΔ και ΕΛΙΑΣ και πως σχολιάστηκε η άνοδος της Χρυσής Αυγής. Ανατροπή του κλίματος για το Ποτάμι.
Αριθμός tweets την Δευτέρα 26-05

Διάγραμμα 9: Πλήθος tweets ανά πολιτική παράταξη, τη Δευτέρα 26-5-2014
Ο ΣΥΡΙΖΑ ως νικητής των εκλογών σχολιάστηκε περισσότερο από όλες τις παρατάξεις συγκεντρώνοντας 8582 tweets. Ακολουθεί το σχήμα ΕΛΙΑ-ΠΑΣΟΚ (21%, 4885 tweets) που προκάλεσε έντονες συζητήσεις και ξεπερνά τα μηνύματα για τη ΝΔ ( 4683, 20.2%) και τη Χρυσή Αυγή (17,5% 4589 tweets). Οι αναφορές στο Ποτάμι είναι αρκετά χαμηλά, ενώ συζητήθηκε και η ΔΗΜΑΡ.
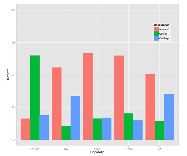
Χαρακτήρας tweet για κάθε κόμμα

Διάγραμμα 10: Χαρακτήρας tweets στις 26 Μαϊου 2014, ανά παράταξη
ΣΥΡΙΖΑ
Το “πάρτι” στο twitter υπέρ του ΣΥΡΙΖΑ συνεχίζεται ακόμη πιο έντονα μετεκλογικά. Τα θετικά μηνύματα αυξήθηκαν και ο ΣΥΡΙΖΑ παραμένει το μοναδικό κόμμα που οι θετικές αναφορές υπερισχύουν των αρνητικών.

Διάγραμμα 11: Word cloud- Σημαντικότερα θέματα που συζητήθηκαν στα tweets που αφορούν το ΣΥΡΙΖΑ (26 Μαΐου 2014)
Οι περισσότερες αναφορές εστιάζουν στη “νίκη”, στο ότι ο ΣΥΡΙΖΑ ήταν “πρώτος”, και “κέρδισε” τις “ευροεκλογές”.
Θετικές αναφορές
Οι θετικές αναφορές στο κόμμα του ΣΥΡΙΖΑ, ξεπερνούν το 60% των συνολικών μηνυμάτων.
Εκατοντάδες χρήστες αντιμετώπισαν την εκλογική νίκη του ΣΥΡΙΖΑ με χιουμοριστική διάθεση.
Χαρακτηριστικά tweets:
“Πριν λίγο ζήτησα παγωτό γεύση φιστίκι κ μου είπαν τελείωσε. Τα αποτελέσματα της νίκης ΣΥΡΙΖΑ είναι ορατά.. Ελλείψεις σε είδ…"
“Αν εξαιρέσουμε τον ΣΥΡΙΖΑ από τα υπόλοιπα κόμματα πρώτη είναι η ΝΔ."
“Σοκαριστικές εικόνες. Πανικόβλητοι τουρίστες εγκαταλείπουν την Ελλάδα με κάθε μέσο μετά την νίκη του Συριζα.”
Ταυτόχρονα στηλιτεύτηκε ο τρόπος με τον οποίο αντιμετώπισαν τα ΜΜΕ τη νίκη του ΣΥΡΙΖΑ
"Το βράδυ στον Πρετεντέρη θα αναλυθεί η ήττα του ΣΥΡΙΖΑ."
Για το BBC ο ΣΥΡΙΖΑ ανέβηκε 22%, αλλά τα ελληνικά μίντια βλέπουν «νίκη» Ν.Δ.
Τα αρνητικά μηνύματα δεν κατάφεραν να διαμορφώσουν μία δυναμική εναντίον του κόμματος.
Οι ενημερωτικές αναφορές, μεταφέρουν “λεπτό προς λεπτό” τα αποτελέσματα σε ολόκληρη την περιφέρεια και τη “μάχη” του σταυρού στις ευρωεκλογές.
Προκαλεί εντύπωση το γεγονός ότι η νίκη του ΣΥΡΙΖΑ στην περιφέρεια Αττικής δεν σχολιάστηκε με τόσο έντονο τρόπο όσο η νίκη στις ευρωεκλογές.
Νέα Δημοκρατία
Οι αρνητικές αναφορές για το κόμμα της Νέας Δημοκρατίας ξεπέρασαν το 50%.

Διάγραμμα 12: Word cloud- Σημαντικότερα θέματα που συζητήθηκαν στα tweets που αφορούν τη ΝΔ (26 Μαϊου 2014).
Στο wordcloud (διάγραμμα 12) δεσπόζει ο “ΣΥΡΙΖΑ” ακολουθεί το “ΠΑΣΟΚ”, και δίνεται βαρύτητα στη διαφορά.
Στις αρνητικές αναφορές, πολλοί χρήστες αντιμετώπισαν με ειρωνική διάθεση το κόμμα, τις δημοσκοπήσεις και συνεχίστηκε η κριτική στην κυρίαρχη ρητορική των παραδοσιακών ΜΜΕ για το διακύβευμα των εκλογών.
Χαρακτηριστικά tweets:
“Σύμφωνα με τις δημοσκοπήσεις οι εκλογές έπεσαν έξω. Κερδίζει η ΝΔ.”
"Η ΝΔ είναι σαν την Ελλάδα στη eurovision. Ότι θέση και να πάρει πάντα είναι νικήτρια."
“Παρακαλούμε πολύ, το κόψιμο συντάξεων & τα νέα μέτρα να ξεκινήσουν από τις γαλάζιες περιοχές που τα γουστάρουν τρελά.”
Πολλά αρνητικά σχόλια έγιναν για τους υποψηφίους που εκλέγονται, με χαρακτηριστικότερο tweet:
“Ζαγοράκης στην Βουλή. Αφού δεν έστειλαν τον Βαμβακούλα να λέει "Γιου φαουλ?""
Στις θετικές αναφορές, γίνεται προσπάθεια να τονιστεί ότι η ΝΔ είναι η νικήτρια των Περιφερειακών εκλογών, ότι τα κόμματα της συγκυβέρνησης πήραν μεγαλύτερο ποσοστό από τον ΣΥΡΙΖΑ και ότι ο ΣΥΡΙΖΑ με αυτά τα ποσοστά δεν θα μπορούσε να σχηματίσει κυβέρνηση.
ΠΑΣΟΚ-ΕΛΙΑ
Σε αντίθεση με το θετικό κλίμα που διαμορφώθηκε στα παραδοσιακά ΜΜΕ, στο twitter η συντριπτική πλειονότητα των μηνυμάτων (σχεδόν έξι στα δέκα), ήταν αρνητική για την ΕΛΙΑ.

Διάγραμμα 13: Word cloud- Σημαντικότερα θέματα που συζητήθηκαν στα tweets που αφορούν την ΕΛΙΑ (26 Μαϊου 2014).
Τα σημαντικότερα θέματα που συζητήθηκαν ήταν οι “εκλογές”, το “ποτάμι”, “ΔΗΜΑΡ” κλπ.
Οι περισσότεροι χρήστες αντιμετώπισαν με ειρωνική διάθεση το κόμμα.
Χαρακτηριστικά tweets:
"Ο Βενιζέλος ετοιμάζει και έναν "Νόμο περί ευθύνης πολιτών". Όταν πέφτει κάτω από 10% το ΠΑΣΟΚ, να υπάρχουν κυρώσεις στο…"
"Η Ελια μεχρι τις 19:00 δεν ηταν Πασοκ."
"Η Ελιά είναι το ΠΑΣΟΚ, επειδή δεν εξαϋλώθηκε, πανηγυρίζουν; Είναι δυνατόν;"
"Το ΠΑΣΟΚ, λέει, κέρδισε επειδή πήρε ποσοστά μεγαλύτερα από τις δημοσκοπήσεις! Τι πίνουν, γαμώτο;"
Είναι χαρακτηριστικό του κλίματος ότι τα ακόλουθα tweets δέχθηκαν τα περισσότερα retweet:
"Αν είχαν χιούμορ στο ΠΑΣΟΚ, αντί να το ονομάσουν Ελιά θα το έλεγαν Πλάτανο. Να έχουμε κάτι να χαιρετάμε την επόμενη Κυρι…"
Περίπου το 75% του εκλογικού σώματος ΔΕΝ θέλει ΝΔ-ΕΛΙΑ. Πρόκειται για καθαρή νίκη, της συγκυβέρνησης…"
ΠΟΤΑΜΙ
H επόμενη ημέρα των εκλογών επιφύλασσε μία τελείως διαφορετική αντιμετώπιση για το Ποτάμι.

Οι αρνητικές αναφορές εκτοξεύθηκαν σχεδόν στο 60% των συνολικών και φάνηκε ότι οι χρήστες του twitter περίμεναν τα εκλογικά αποτελέσματα για να εκφράσουν την αρνητική τους διάθεση για το Ποτάμι.
Διάγραμμα 14: Word cloud- Σημαντικότερα θέματα που συζητήθηκαν στα tweets που αφορούν το ΠΟΤΑΜΙ (26 Μαϊου 2014).
Το wordcloud δείχνει πιο συχνές τις συζητήσεις που κινήθηκαν γύρω από την “Ελιά”, το ”ΣΥΡΙΖΑ”, το “ΠΑΣΟΚ” αλλά και το “σακίδιο”.
Οι αρνητικές αναφορές μετά τις εκλογές συμπεριέλαβαν τον Σταύρο Θεοδωράκη, υπήρξαν ειρωνικά σχόλια για το “σακίδιο” ενώ κυριάρχησε η κριτική για το ρόλο του κόμματος και η ταύτισή του με το ΠΑΣΟΚ.
Χαρακτηριστικά tweets
“Πάω προπόνηση με το σακίδιο και με κοιτάνε λες και ψήφισα Ποτάμι”
“Εκει στο Ποταμι μην ΠΟΛΥΧΑΙΡΕΣΤΕ!!!!Οταν ο κοσμος δει οτι ΔΕΝ ΕΧΕΤΕ ουτε μιση σειρα ΠΡΟΓΡΑΜΜΑ θα πιασετε ΔΑΠΕΔΟ!”
“Θεοδωράκης: "Το Ποτάμι μέσα σε 88 ημέρες κατάφερε από το 0% να φτάσει το 7%". Ψέματα! Από το 15% ξεκίνησε!”
“Αν δεν ξέρετε τι να ψηφίσετε, ψηφίστε ποτάμι, ούτε αυτοί ξέρουν τι είναι”
Χρυσή Αυγή
Ενά επιπλέον εντυπωσιακό στοιχείο των τάσεων στο twitter τη Δευτέρα των εκλογών, αφορά τη Χρυσή Αυγή.
Οι συνολικές αναφορές είναι ιδιαιτέρως αυξημένες. Η αύξηση ερμηνεύεται, εν μέρει, από το γεγονός ότι δεκάδες ηλεκτρονικά ΜΜΕ, προχωρούσαν σε μαζικές αναρτήσεις για τα ποσοστά της Χρυσής Αυγής, σε ποια μέρη το κόμμα πήρε τα υψηλότερα και τα χαμηλότερα ποσοστά του κτλ.
Μακράν το σημαντικότερο θέμα που συζητήθηκε ήταν η ψήφος των αστυνομικών όπως φαίνεται και από το διάγραμμα με τα σημαντικότερα θέματα.

Τα θετικά μηνύματα αφορούν σε δηλώσεις στελεχών και οπαδών του κόμματος που παρουσιάζουν τη Χρυσή Αυγή ως τη δύναμη που θα “καθαρίσει” το πολιτικό σύστημα. Αυτό που κάνει εντύπωση είναι ότι προβλήθηκε ως θετική για το κόμμα απόσπασμα δήλωσης της Λιάνας Κανέλλη για τη Χρυσή Αυγή.
«Κανέλλη: Η Χρυσή Αυγή είναι ο θριαμβευτής αυτών των εκλογών»
Είναι χαρακτηριστικό του γενικού αρνητικού κλίματος για τη Χρυσή Αυγή τα tweets που έλαβαν τα περισσότερα retweet.
“13,7% η Χρυσή Αυγή στο Κολωνάκι, προφανώς είναι έξαλλοι οι Κολωνακιώτες με τις Φιλιππινέζες τους"
“Εντονος προβληματισμος στη Χρυση Αυγη για τα διψηφια ποσοστα. Κανείς δεν ξερει να μετραει πανω απο το 10"
“Ηλικίες 18-24 στο 12% η Χρυσή Αυγή. Ξεκλειδώστε του παππούδες και τις γιαγιάδες. Λαθος εγινε."
Για τη Media Perception Analytics και το newsbomb
Κυριάκος Αργυρόπουλος
Άρης Περπέρογλου
Διαβάστε επίσης:
Οι εκλογές του twitter - Οι νικητές και οι χαμένοι (μέρος πρώτο)
Οι εκλογές του twitter - οι νικητές και οι χαμένοι (μέρος δεύτερο)
Οι εκλογές του twitter - οι νικητές και οι χαμένοι (μέρος τρίτο)