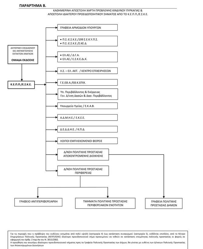
Αντιπυρική περίοδος 2020: Από σήμερα η έκδοση του Ημερήσιου Χάρτη Πρόβλεψης Κινδύνου Πυρκαγιάς
Φωτιές στην Ελλάδα - Όλες οι ειδήσεις: Η Γενική Γραμματεία Πολιτικής Προστασίας στο πλαίσιο της τρέχουσας αντιπυρικής περιόδου ανακοινώνει την καθημερινή έκδοση του Ημερήσιου Χάρτη Πρόβλεψης Κινδύνου Πυρκαγιάς για τη φετινή αντιπυρική περίοδο και συγκεκριμένα για το διάστημα από την 1η Ιουνίου έως την 31η Οκτωβρίου 2020.
Όπως κάθε χρόνο η έκδοση του χάρτη στοχεύει στην προστασία της ανθρώπινης ζωής, της περιουσίας των πολιτών και του φυσικού περιβάλλοντος της χώρας μας. Ο Χάρτης εκδίδεται με ευθύνη της Διεύθυνσης Σχεδιασμού και Αντιμετώπισης Εκτάκτων Αναγκών και εντάσσεται στο Γενικό Σχέδιο Αντιμετώπισης Εκτάκτων Αναγκών εξαιτίας Δασικών Πυρκαγιών με την κωδική ονομασία ΙΟΛΑΟΣ, το οποίο είχε εκπονηθεί ήδη από τον Δεκέμβριο του 2019 από την ΓΓΠΠ
Η σύνταξη και έκδοση του Χάρτη αποτελεί διεθνή πρακτική, ειδικότερα σε χώρες που αντιμετωπίζουν σημαντικά προβλήματα λόγω δασικών πυρκαγιών, με κύριο στόχο τον συντονισμό των εμπλεκόμενων φορέων και την ενίσχυση της ετοιμότητάς τους για την αντιμετώπιση των δασικών πυρκαγιών.
Παράλληλα, η έκδοση του Χάρτη αποσκοπεί στην έγκυρη και έγκαιρη πληροφόρηση των πολιτών, ώστε να ενημερώνονται τόσο για τις περιοχές που διατρέχουν κίνδυνο πυρκαγιάς, όσο και για τα απαραίτητα μέτρα πρόληψης και αυτοπροστασίας, καθώς και στην αποφυγή ενεργειών που ενδέχεται να προκαλέσουν την έναρξη δασικής πυρκαγιάς από αμέλεια.
Σημειώνεται ότι ο Ημερήσιος Χάρτης Πρόβλεψης Κινδύνου Πυρκαγιάς αφορά την επόμενη ημέρα από αυτή που εκπονείται και εκδίδεται.
Δείτε στο χάρτη τις περιοχές που αντιμετωπίζουν κίνδυνο σήμερα Δευτέρα, 1η Ιουνίου
Μερικές χρήσιμες συμβουλές που μπορούμε όλοι εύκολα να ακολουθήσουμε, ιδιαίτερα τους θερινούς μήνες, για την επίτευξη του στόχου αυτού είναι:
Για να μην προκαλέσουμε πυρκαγιά
- Αποφεύγουμε τις υπαίθριες θερμές εργασίες, που ενδέχεται να προκαλέσουν πυρκαγιά (οξυγονοκολλήσεις, χρήση τροχού ή άλλου εργαλείου, που εκτοξεύει σπινθήρες)
- Δεν ανάβουμε υπαίθριες ψησταριές (barbeque) κατά τους θερινούς μήνες εντός των δασών, ούτε σε χώρους που υπάρχουν ξερά χόρτα και κλαδιά
- Αποφεύγουμε το κάπνισμα των μελισσών και δεν εγκαταλείπουμε τα αναμμένα υπολείμματα καύσης στην ύπαιθρο, διότι ενδέχεται να αναζωπυρωθούν και να προκαλέσουν πυρκαγιά
- Σε καμία περίπτωση, δεν καίμε ξερά χόρτα, κλαδιά, καλάμια και σκουπίδια στην ύπαιθρο
- Δεν πετάμε ποτέ αναμμένα τσιγάρα και σπίρτα, από το παράθυρο του αυτοκινήτου, ούτε όταν βρισκόμαστε στο δάσος
- Δεν αφήνουμε σκουπίδια στο δάσος, διότι υπάρχει κίνδυνος ανάφλεξής τους, ούτε γυάλινα μπουκάλια, διότι ενδέχεται να προκαλέσουν πυρκαγιά σε ξερά χόρτα, μέσω της ηλιακής ακτινοβολίας
- Δεν προβαίνουμε σε χρήση βεγγαλικών – πυροτεχνημάτων, σε περιοχές που βρίσκονται σε μικρή απόσταση από δασικές εκτάσεις
- Δε σταθμεύουμε ποτέ το όχημά μας σε σημεία που υπάρχουν ξερά χόρτα. Ο καταλύτης των αυτοκινήτων διατηρείται υπερθερμασμένος για αρκετό χρονικό διάστημα, μετά το σβήσιμο της μηχανής, καθιστώντας ορατό τον κίνδυνο έναρξης πυρκαγιάς
- Έχουμε υπόψη μας ότι οι σπινθήρες που προκαλούνται από τις εξατμίσεις όλων των τύπων οχημάτων μπορούν να δημιουργήσουν συνθήκες ευνοϊκές για πυρκαγιά
- Πάντα συμμορφωνόμαστε με τις απαγορευτικές πινακίδες πρόσβασης στο δάσος, σε περιόδους υψηλού κινδύνου

Οι ενέργειες, στις οποίες πρέπει να προβούμε, μόλις αντιληφθούμε μια πυρκαγιά
- Τηλεφωνήστε ΑΜΕΣΩΣ στον αριθμό κλήσης 199 και δώστε σαφείς πληροφορίες για την τοποθεσία και το ακριβές σημείο που βρίσκεσθε, καθώς και πληροφορίες για τη συγκεκριμένη θέση που βλέπετε την πυρκαγιά.
- Περιγράφουμε το είδος της βλάστησης που καίγεται
- Προσδιορίζουμε την κατεύθυνση της πυρκαγιάς
- Ενημερώνουμε για την ένταση και τη διεύθυνση του ανέμου στην περιοχή
- Η κλήση στον αριθμό αυτό είναι χωρίς χρέωση τόσο από σταθερό όσο και από κινητό τηλέφωνο. Επίσης, στα καρτοτηλέφωνα δεν απαιτείται η εισαγωγή τηλεκάρτας. Σε περίπτωση που το κινητό τηλέφωνο σας δείχνει την ένδειξη «κλήσεις έκτακτης ανάγκης» ή «εκτός δικτύου» τηλεφωνήστε στο 112, το οποίο είναι επίσης αριθμός έκτακτης ανάγκης για όλη την Ευρωπαϊκή Ένωση. Η χρήση του είναι επίσης δωρεάν, από όλα τα σταθερά και κινητά τηλέφωνα.
Παράλληλα, η Γενική Γραμματεία Πολιτικής Προστασίας συνιστά στους πολίτες:
Αν βρίσκεστε στην ύπαιθρο
- Μην καίτε σκουπίδια ή ξερά χόρτα και κλαδιά κατά τους θερινούς μήνες.
- Μην ανάβετε υπαίθριες ψησταριές στα δάση ή σε χώρους που υπάρχουν ξερά χόρτα το καλοκαίρι.
- Αποφύγετε εργασίες που ενδέχεται να προκαλέσουν πυρκαγιά (π.χ. οξυγονοκολλήσεις, χρήση τροχού ή άλλου εργαλείου που δημιουργεί σπινθήρες).
- Μην πετάτε αναμμένα τσιγάρα.
- Μην αφήνετε τα σκουπίδια στο δάσος. Υπάρχει κίνδυνος ανάφλεξης.
- Σεβαστείτε τα απαγορευτικά πρόσβασης σε περιόδους υψηλού κίνδυνου.
Αν το σπίτι σας βρίσκεται μέσα ή κοντά σε δάσος
- Δημιουργείστε μια αντιπυρική ζώνη γύρω από το σπίτι καθαρίζοντας σε ακτίνα τουλάχιστον 10 μέτρων τα ξερά χόρτα και φύλλα, τις πευκοβελόνες και τα κλαδιά.
- Κλαδέψτε τα δένδρα μέχρι το ύψος των 3 μέτρων, ανάλογα με την ηλικία και την κατάστασή τους.
- Απομακρύνετε τα ξερά κλαδιά από τα δένδρα και τους θάμνους.
- Μην αφήνετε τα κλαδιά των δένδρων να ακουμπούν στους τοίχους, τη στέγη και τα μπαλκόνια του σπιτιού. Κλαδέψτε τα αφήνοντας απόσταση τουλάχιστον 5 μέτρων από το σπίτι.
- Αραιώστε τη δενδρώδη βλάστηση έτσι ώστε τα κλαδιά του ενός δένδρου να απέχουν τουλάχιστον 3 μέτρα από τα κλαδιά του άλλου. Για ακόμη μεγαλύτερη προστασία απομακρύνουμε τη δενδρώδη και θαμνώδη βλάστηση γύρω από το κτίσμα σε απόσταση τουλάχιστον 10 μέτρων εφόσον οι εργασίες καθαρισμού της φυσικής βλάστησης που επιβάλλονται για την προστασία των κτιρίων δεν προσκρούουν σε καμία περίπτωση στις διατάξεις της δασικής νομοθεσίας.
- Μην τοποθετείτε πλαστικές υδρορροές ή σωλήνες στους τοίχους του σπιτιού.
- Μην τοποθετείτε παραθυρόφυλλα από εύφλεκτα υλικά στα παράθυρα και τις μπαλκονόπορτες.
- Φροντίστε ώστε τα καλύμματα στις καμινάδες και τους αεραγωγούς του σπιτιού να είναι από άφλεκτο υλικό ώστε να μην διεισδύσουν σπίθες.
- Μην αποθηκεύετε εύφλεκτα αντικείμενα κοντά στο σπίτι.
- Τοποθετείτε τα καυσόξυλα σε κλειστούς και προφυλαγμένους χώρους.
- Μην κατασκευάζετε ακάλυπτες δεξαμενές καυσίμου κοντά στο σπίτι.
- Προμηθευτείτε τους κατάλληλους πυροσβεστήρες και φροντίζετε για τη συντήρησή τους.
- Εξοπλιστείτε με σωλήνα ποτίσματος με μήκος ανάλογο της περιοχής που θέλετε να προστατεύσετε.
- Εξοπλιστείτε με μια δεξαμενή νερού, μια απλή αντλία που λειτουργεί χωρίς ηλεκτρικό ρεύμα και ένα σωλήνα νερού.
Αν η πυρκαγιά πλησιάζει στο σπίτι σας
- Διατηρείστε την ψυχραιμία σας.
- Μεταφέρετε όλα τα εύφλεκτα υλικά από τον περίγυρο του κτιρίου σε κλειστούς και προφυλαγμένους χώρους.
- Κλείστε όλες τις διόδους (καμινάδες, παράθυρα, πόρτες κλπ.) έτσι ώστε να μην διεισδύσουν οι καύτρες στο εσωτερικό του σπιτιού.
- Κλείστε τις παροχές φυσικού αερίου και υγρών καυσίμων μέσα και έξω από το σπίτι.
- Μαζέψτε τις τέντες στα μπαλκόνια και στα παράθυρα.
- Διευκολύνετε την πρόσβαση πυροσβεστικών οχημάτων ανοίγοντας την πόρτα του κήπου.
- Τοποθετείστε σκάλα στην εξωτερική πλευρά του σπιτιού, αντίθετα από την κατεύθυνση της πυρκαγιάς ώστε να υπάρχει η δυνατότητα άμεσης πρόσβασης στη στέγη.
- Συνδέστε τους σωλήνες ποτίσματος και απλώστε τους ώστε να καλύπτεται η περίμετρος του σπιτιού.
- Αν η ορατότητα είναι μειωμένη, ανάψτε τα εσωτερικά και τα εξωτερικά φώτα του για να γίνεται ορατό μέσα από τους καπνούς.
Μόλις περάσει η πυρκαγιά
- Βγείτε από το σπίτι και σβήστε αμέσως τις μικροεστίες που απομένουν.
- Ελέγξτε για τουλάχιστον 48 ώρες, ανά τακτά χρονικά διαστήματα, την περίμετρο και τους εξωτερικούς χώρους του σπιτιού για το ενδεχόμενο αναζωπυρώσεων.
Αν η πυρκαγιά έχει φτάσει στο σπίτι σας
- Μην εγκαταλείπετε το κτίριο εκτός αν η διαφυγή σας είναι πλήρως εξασφαλισμένη.
- Μην μπαίνετε μέσα σε αυτοκίνητο. Η πιθανότητα επιβίωσης σε ένα σπίτι κατασκευασμένο από άφλεκτα υλικά είναι πολύ μεγαλύτερη από εκείνη σε ένα αυτοκίνητο που βρίσκεται σε καπνούς και φλόγες.
Αν παραμείνετε στο σπίτι:
- Κλείστε καλά τις πόρτες και τα παράθυρα.
- Φράξτε τις χαραμάδες με βρεγμένα πανιά για να μην μπει μέσα ο καπνός.
- Απομακρύνετε τις κουρτίνες από τα παράθυρα.
- Μεταφέρετε στο εσωτερικό των δωματίων τα έπιπλα που βρίσκονται κοντά στα παράθυρα και τις εξωτερικές πόρτες.
- Κλείστε τις ενδιάμεσες πόρτες για να επιβραδύνετε την εξάπλωση της πυρκαγιάς.
- Γεμίστε την μπανιέρα, τους νιπτήρες και τους κουβάδες με εφεδρικό νερό.
- Συγκεντρωθείτε όλοι μαζί σε ένα δωμάτιο.
- Φροντίστε να υπάρχει φακός και εφεδρικές μπαταρίες μαζί σας σε περίπτωση διακοπής ηλεκτρικού ρεύματος.
- Αν το σπίτι σας είναι ξύλινο αναζητείστε καταφύγιο σε κτιστό σπίτι.
- Αν διαταχθεί εκκένωση της περιοχής ακολουθείστε πιστά τις οδηγίες των Αρχών και τις διαδρομές που θα σας δοθούν.
ΔΕΙΤΕ ΕΔΩ LIVE ΤΗΝ ΕΞΑΠΛΩΣΗ ΤΟΥ ΙΟΥ
Δείτε όλες τις τελευταίες Ειδήσεις από την Ελλάδα και τον Κόσμο, τη στιγμή που συμβαίνουν, στο Newsbomb.gr
Διαβάστε επίσης:
Αεροπλάνο συνετρίβη σε παραλία με λουόμενους – Καρέ - καρέ η διάσωση του πληρώματος (pics)