Αυτοκίνητα από 300 ευρώ: Πώς θα τα αποκτήσετε - Δείτε όλη τη λίστα με τα οχήματα και τις τιμές

Δημοπρασίες: Στην Κω θα πραγματοποιηθεί η επόμενη δημοπρασία οχημάτων από τη Διεύθυνση Διαχείρισης Δημόσιου Υλικού - ΔΔΔΥ (πρώην ΟΔΔΥ) - Δείτε αναλυτικά τη λίστα, στη gallery του newsbomb.gr και επιλέξτε τι σας συμφέρει.

Αυτοκίνητα
In Τime

Στις 11 Νοεμβρίου 2021 ημέρα Πέμπτη και ώρα 11:00 το πρωί, θα γίνει στο τελωνειακό κατάστημα Κω προφορική πλειοδοτική δημοπρασία για να πουληθούν τα ακόλουθα οχήματα για κυκλοφορία ή διάλυση, που βρίσκονται στην αποθήκη του Τελωνείου με τιμή εκκίνησης αυτήν που αναγράφεται στην παρούσα διακήρυξη.

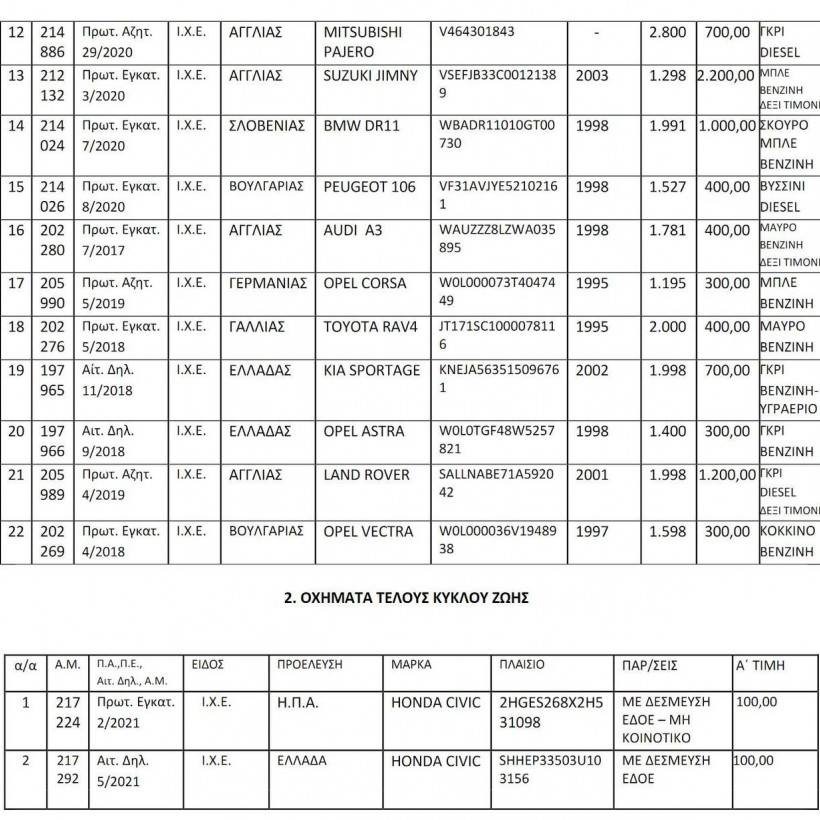
ΔΕΙΤΕ ΣΤΗ GALLERY TOY NEWSBOMB.GR ΟΛΕΣ ΤΙΣ ΠΡΟΣΦΟΡΕΣ

Η επίσκεψη των αυτοκινήτων επιτρέπεται για πέντε εργάσιμες ημέρες πριν από τη δημοπρασία, δηλαδή έως 10-11-2021 και ώρες από 11:30 με 13:30.

Η συμμετοχή καθενός των πλειοδοτών στη διαδικασία της δημοπρασίας προϋποθέτει την πλήρη ενημέρωσή του επί των όρων πώλησης που ισχύουν. Δήλωση αγνοίας αυτών δεν αποτελεί άλλοθι και δεν γίνεται δεκτή.

Ανακοίνωση στους ενδιαφερομένους, στο εξής ΔΕΝ θα γίνονται δεκτές εκπρόθεσμες αιτήσεις Παρατάσεων διακανονισμού.

Ο τόπος φύλαξης των δημοπρατούμενων οχημάτων αναγράφεται στο τέλος κάθε κατάστασης.

ΠΡΟΣΟΧΗ

Όλα τα οχήματα δημοπρατούνται σύμφωνα με τους ΝΕΟΥΣ ΓΕΝΙΚΟΥΣ ΟΡΟΥΣ ΠΩΛΗΣΗΣ ΤΡΟΧΟΦΟΡΩΝ, οι οποίοι είναι αναρτημένοι στον ιστότοπο www.aade.gr (MENOY>Δημοπρασίες ΔΔΔΥ). Η συμμετοχή καθενός των πλειοδοτών στη διαδικασία της δημοπρασίας προϋποθέτει την πλήρη ενημέρωση του επί των όρων πώλησης που ισχύουν. Δήλωση άγνοιας αυτών δεν γίνεται δεκτή.

Στις τιμές εκποίησης των οχημάτων συμπεριλαμβάνεται ο αναλογών Φ.Π.Α.

Για τα μη κοινοτικά οχήματα ο αγοραστής υποχρεούται πριν την παραλαβή τους να υποβάλλει τη σχετική διασάφηση εισαγωγής, επί της οποίας υπολογίζονται και καταβάλλονται οι αναλογούσες δασμοφορολογικές επιβαρύνσεις.

ΠΑΡΑΤΗΡΗΣΕΙΣ

Παρατήρηση 1

Για τα προς κυκλοφορία οχήματα η εγγύηση είναι 300 ευρώ, οι δε προσφορές για να γίνουν δεκτές πρέπει να διαφέρουν από την τιμή εκκίνησης η μία από την άλλη κατά 50 ευρώ τουλάχιστον.

Για τα προς διάλυση δίκυκλα οχήματα η εγγύηση συμμετοχής είναι 50 ευρώ, οι δε προσφορές για να γίνουν δεκτές πρέπει να διαφέρουν από την τιμή εκκίνησης η μία από την άλλη κατά 20 ευρώ τουλάχιστον.

Παρατήρηση 2

Οι συμμετέχοντες στη δημοπρασία υποχρεούνται να φέρουν την αστυνομική τους ταυτότητα και να δηλώνουν στην επιτροπή τον Α.Φ.Μ., την αρμόδια Δ.Ο.Υ. και την ιδιότητά τους.

Τα φυσικά πρόσωπα συµµετέχουν στις δηµοπρασίες αυτοπροσώπως. Κατ εξαίρεση µπορούν να συµµετάσχουν µε εξουσιοδοτηµένο εκπρόσωπο εφόσον είναι σύζυγος ή συγγενής εξ αίµατος µέχρι και δευτέρου βαθµού προσκοµίζοντας υπεύθυνη δήλωση του Ν.1599/86 θεωρηµένη από Δηµόσια Αρχή.

Τα νοµικά πρόσωπα συµµετέχουν στις δηµοπρασίες δια του νόµιµου εκπροσώπου τους ή µε πληρεξούσιο οριζόµενο από συµβολαιογράφο για τα οχήµατα προς κυκλοφορία ή µε εξουσιοδοτηµένο εκπρόσωπο για τα υπόλοιπα οχήµατα. Σε κάθε περίπτωση οφείλουν να προσκοµίσουν τα νοµιµοποιητικά έγγραφα της εταιρείας (επικυρωµένο αντίγραφο της συστατικής πράξης-καταστατικό,ΦΕΚ δηµοσίευσης του καταστατικού ,πρόσφατο πιστοποιητικό µεταβολών από το οικείο Πρωτοδικείο και ΓΕΜΗ µε τα αντίστοιχα ΦΕΚ αυτών.

Παρατήρηση 3

Το 20% της τιμής κατακύρωσης (προκαταβολή) καταβάλλεται αμέσως μόλις τελειώσει η πλειοδοσία για κάθε όχημα και μετά την υπογραφή του πρακτικού ανακηρύξεως πλειοδότη.

Η έκπτωση όταν η πληρωμή γίνεται τοις μετρητοίς ορίζεται σε 30% στο σύνολο της προσφερόμενης τιμής.

Το υπόλοιπο ποσό θα καταβάλλεται για ποσό µέχρι 300 ευρω τοις µετρητοίς και για ποσό άνω των 300 ευρώ µε Τραπεζική Επιταγή σε διαταγή Τελωνείου Πατρών.

Παρατήρηση 4

Τα δημοπρατούμενα οχήματα είναι μεταχειρισμένα, με ζημιές, φθορές και ελλείψεις και χρήζουν επισκευής πριν κυκλοφορήσουν.

Οι ενδιαφερόμενοι οφείλουν να τα εξετάσουν μαζί με τεχνικούς της επιλογής τους πριν λάβουν μέρος στη δημοπρασία, προκειμένου να προσδιορίσουν το ύψος των ζημιών, ώστε να διαμορφώνουν ανάλογα και τις προσφορές τους.

Η εξέταση περιλαμβάνει ότι κριθεί αναγκαίο χωρίς τη χρήση εργαλειών ή άλλων μηχανικών μέσων και χωρίς να τεθεί σε κίνηση το όχημα. Επίσης, πολλά στοιχεία τους, όπως έτος κατασκευής, κυβισμός, τύπος κλπ. ελήφθησαν και από τις εξωτερικές ενδείξεις τους προς καλύτερη ενημέρωση του αγοραστικού κοινού, κατόπιν αυτού οι αγοραστές οφείλουν να ερευνούν και από μόνοι τους την ακρίβεια των στοιχείων αυτών. Η Υπηρεσία μας για τα στοιχεία αυτά καθώς και τυχόν κρυμμένα ελαττώματα ουδεμία ευθύνη φέρει.

Βάσει των όρων πώλησης αναστροφές -ακυρώσεις αγοροπωλησιών δεν γίνονται δεκτές, εξαιρουµένων των περιπτώσεων που µε βεβαίωση της Δ/νσης Μεταφορών και επικοινωνιών προκύπτει ότι το όχηµα δεν δύναται να κυκλοφορήσει.

Παρατήρηση 5

Για τη θέση του οχήματος σε κυκλοφορία ο αγοραστής υποχρεούται με δική του ευθύνη και δαπάνες να ολοκληρώσει τις διαδικασίες καταβολής του τέλους ταξινόμησης, την έκδοση νέων πινακίδων και την καταβολή των τελών κυκλοφορίας.

Για τα φορτηγά αυτοκίνητα άνω των 4 τόνων ή λεωφορεία προς κυκλοφορία δεν εκδίδεται πιστοποιητικό κυριότητας, αλλά απαιτείται η σύνταξη συμβολαίου από συµβολαιογράφο και τα έξοδα βαρύνουν τον αγοραστή.

Οι ενδιαφερόμενοι πριν λάβουν μέρος στις δημοπρασίες πρέπει να ενημερώνονται από τις αρμόδιες Υπηρεσίες Μεταφορών για τις εκάστοτε ισχύουσες διατάξεις ως προς την ταξινόμηση, το είδος του καυσίμου, τον τόπο ταξινόμησης τα όρια εκπομπής καυσίμων κλπ και των οποίων άγνοια δεν μπορούν να επικαλεστούν μετά την αγορά των οχημάτων.

Ώρες επίσκεψης

Η επίσκεψη των αυτοκινήτων επιτρέπεται για πέντε εργάσιμες ημέρες πριν από τη δημοπρασία, δηλαδή έως 10-11-2021 και ώρες από 11:30 με 13:30.

Δεν επιτρέπεται το επισκεπτήριο κατά τη διάρκεια διεξαγωγής της δημοπρασίας, παρά μόνο μετά το πέρας αυτής για τριάντα (30) λεπτά παρουσία του προσωπικού της υπηρεσίας, σε όσους εκ των ανακηρυχθέντων πλειοδοτών το επιθυμούν.

Ο Διακανονισμός του τιμήματος των δημοπρατηθέντων οχημάτων γίνεται υποχρεωτικά σε 30 ημερολογιακές ημέρες από την επόμενη ημέρα της κατακύρωσης των αποτελεσμάτων της δημοπρασίας.

Δύναται να παραταθεί με απόφαση του Προϊσταμένου της Υπηρεσίας και δεν μπορεί να υπερβαίνει τις 45 ημερολογιακές ημέρες συνολικά (ανώτατη προθεσμία και για την παραλαβή του οχήματος), ύστερα από εμπορόθεσμη αίτηση του αγοραστή, ο οποίος οφείλει να καταβάλει κατά το διακανονισμό του υπολοίπου τιμήματος τις προσαυξήσεις που προβλέπονται από τον ΚΕΔΕ για χρέη προς το Δημόσιο, καθώς και τις ανάλογες επιβαρύνσεις που θα προκύψουν για κάθε μέρα καθυστέρησης παραλαβής του οχήματος λόγω της παράτασης του διακανονισμού.

Ειδήσεις από την Ελλάδα και τον Κόσμο, τη στιγμή που συμβαίνουν, στο Newsbomb.gr.

Διαβάστε επίσης:

Βίντεο - ντοκουμέντο από τη δολοφονία στην Ιεράπετρα: Ο 54χρονος κυνηγάει τη Νεκταρία με το μαχαίρι

Λακωνία: Ράγισαν καρδιές στην κηδεία των δύο αδερφιών - Ντυμένα γαμπροί το τελευταίο αντίο

Χριστουγεννιάτικο κοινωνικό μέρισμα: «Κλειδώνουν» οι αποφάσεις - Πότε θα ανακοινωθούν

Σχόλια
Ροή Ειδήσεων Δημοφιλή