Κορονοϊός Θεσσαλονίκη: Νέες μετρήσεις στα λύματα - «Κρίσιμη η κατάσταση»
Κορονοϊός Θεσσαλονίκη: Νέες μετρήσεις στα λύματα - Τι δείχνουν για το ιικό φορτίο στην πόλη
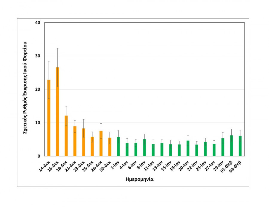
Την εικόνα των δύο προηγούμενων μετρήσεων επιβεβαιώνει και η τελευταία ανάλυση δείγματος για τη συγκέντρωση του SARS-CoV-2 στα λύματα του πολεοδομικού συγκροτήματος Θεσσαλονίκης, στην έρευνα που διεξάγει διεπιστημονική ομάδα του ΑΠΘ σε συνεργασία με την ΕΥΑΘ.
«Δεν έχουμε εκρηκτικό ρυθμό ανόδου, δε μιλάμε επί του παρόντος για μία δραματική επιδείνωση της επιδημιολογικής εικόνας στην πόλη μας. Είμαστε σε ένα σημείο, όπου απαιτείται αυξημένη επαγρύπνηση και ακαριαία ανακλαστικά στην εκτίμηση των δεδομένων που καθημερινά προκύπτουν», δήλωσε στο ΑΠΕ-ΜΠΕ ο πρύτανης του ΑΠΘ και επιστημονικά υπεύθυνος του ερευνητικού έργου καθηγητής Νίκος Παπαϊωάννου, εξηγώντας ότι «ακριβώς λόγω της κρισιμότητας των δεδομένων και της ακρίβειας που πρέπει να έχουν, ώστε να μπορεί και η Πολιτεία να λαμβάνει τις κατάλληλες κάθε φορά αποφάσεις, σε συνεργασία με την ΕΥΑΘ αποφασίσαμε να πάρουμε σήμερα και ένα πρόσθετο δείγμα από τα λύματα, για το οποίο θα έχουμε αργά το βράδυ αποτελέσματα της ανάλυσης».
Ερωτηθείς εάν μετά την ευρεία σύσκεψη που έγινε χθες στην Περιφέρεια Κεντρικής Μακεδονίας, υπό τους κ.κ. Χαρδαλιά και Χρυσοχοΐδη, υπήρξαν κάποια νεότερα δεδομένα, τα οποία να ενέτειναν τη συζήτηση περί εισηγήσεων να ενταχθεί η Θεσσαλονίκη στο «κόκκινο» επίπεδο, ο πρύτανης του ΑΠΘ απάντησε: «Τις αποφάσεις τις λαμβάνει η Πολιτεία αφού συνεκτιμήσει όλα τα επιστημονικά δεδομένα και εισηγήσεις που της παρουσιάζονται. Στη Θεσσαλονίκη έχουμε όλοι την αγωνία να μη ζήσουμε ξανά τις καταστάσεις του Νοεμβρίου. Είναι πολύ πρόσφατες και πολύ επώδυνες οι μνήμες, όπως και η σχετική συζήτηση, αν θα μπορούσε να είχε γίνει κάτι νωρίτερα και να μην είχαμε φτάσει σε εκείνο το σημείο. Σαφώς δε χρειάζεται πανικός, αλλά ο καθένας μας να δει τον τρόπο με τον οποίο μπορεί να συνεισφέρει ουσιαστικά και τεκμηριωμένα στη συζήτηση. Η ομάδα μας αυτό κάνει αυτή τη στιγμή, συγκεντρώνουμε ακόμη περισσότερα δεδομένα, ώστε οι όποιες αποφάσεις ληφθούν, να στηρίζονται σε μία ακριβή και αξιόπιστη εκτίμηση της επιδημιολογικής εικόνας».
Υπενθυμίζεται ότι η ομάδα επιδημιολογίας λυμάτων του ΑΠΘ την περασμένη Τετάρτη προειδοποίησε για μία έντονα αυξητική τάση του ιικού φορτίου στα λύματα, καθώς οι δύο τελευταίες μετρήσεις της έδειχναν μία άνοδο της τάξης του 50% σε σχέση με τον μέσο όρο των προηγούμενων οκτώ μετρήσεων, όπου το ιικό φορτίο ήταν σε σταθερά χαμηλά επίπεδα.
Στα διαγράμματα που παρουσιάζει το ΑΠΕ-ΜΠΕ οι ημέρες των δειγματοληψιών που καταγράφονται με κόκκινο χρώμα αντιστοιχούν σε περισσότερα από 500 κρούσματα - όπως ανακοινώθηκαν τις αντίστοιχες ημέρες από τον ΕΟΔΥ - οι μέρες που καταγράφονται με πορτοκαλί σε 100-400 κρούσματα και οι μέρες που καταγράφονται με πράσινο σε λιγότερα από εκατό κρούσματα.

Η μεθοδολογία αποτίμησης του κορονοϊού στα αστικά απόβλητα, που ανέπτυξε η ομάδα του ΑΠΘ, εξορθολογίζει τις μετρήσεις συγκέντρωσης του γονιδιώματος του ιού με βάση 24 περιβαλλοντικούς παράγοντες, που δύνανται να αλλοιώσουν τα αποτελέσματα των μετρήσεων.

Ειδήσεις από την Ελλάδα και τον Κόσμο, τη στιγμή που συμβαίνουν, στο Newsbomb.gr.
Διαβάστε επίσης:
Αποπλάνηση 13χρονου: Η καθηγήτρια «ικανοποιούσε την ορμή της» και την ώρα των μαθημάτων