Κορονοϊός: Τρεις φορές πιο θανατηφόρος από τη γρίπη – Πεθαίνει το 17% όσων νοσηλεύονται
Κορονοϊός – Όλες οι ειδήσεις: Μεγάλη ιατρική έρευνα αποδεικνύει πως δεν πρόκειται για «μια απλή γρίπη», όπως αναφέρουν οι περισσότερες αρνητές του ιού, καθώς έχει σκοτώσει τρεις φορές περισσότερους ανθρώπους από τη στιγμή της εμφάνισής του.
Από την αρχή της πανδημίας οι αρνητές του κορονοϊού συνήθιζαν να κάνουν συγκρίσεις με τον ιό της γρίπης. Αρκετοί εξ αυτών σχολίαζαν πως πεθαίνουν άνθρωποι κι από τη γρίπη και δεν έχει γίνει τόσος «ντόρος» όσο γίνεται με τον κορονοϊό, όμως, μια νέα έρευνα ήρθε να τους διαψεύσει καθώς η Covid-19 είναι υπεύθυνη για τριπλάσιους θανάτους από ό,τι η γρίπη.
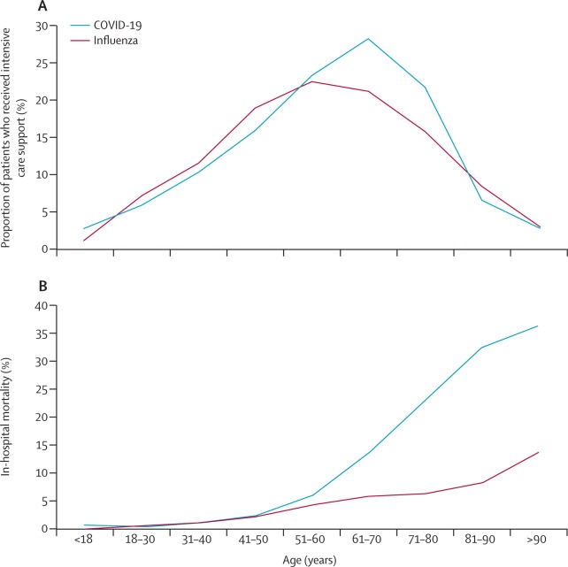
Η γαλλική έρευνα δημοσιεύτηκε στο έγκυρο περιοδικό The Lancet κι αναφέρει πως το 16,9% όσων έχουν νοσηλευτεί με κορονοϊό δεν τα καταφέρνει και πεθαίνει, σε αντίθεση με τη γρίπη όπου το ποσοστό θνησιμότητας είναι 5,8%. Στην έρευνα αναφέρεται πως είναι πολύ πιθανό οι νοσούντες να χρειαστούν σημαντική ιατρική φροντίδα, αντίθετα με ό,τι συμβαίνει με όσους έχουν νοσήσει από γρίπη.

Μάλιστα, ένα 16,3% των ασθενών με κορονοϊό χρειάστηκε να νοσηλευτούν σε ΜΕΘ, τη στιγμή που για τους ασθενείς της γρίπης το ποσοστό των διασωληνωμένων έφτασε μέχρι το 10,8%. Παράλληλα, διαπιστώθηκε πως χρειάζονται περίπου 15 ημέρες σε ΜΕΘ για έναν ασθενή με κορονοϊό έτσι ώστε να καταφέρει να επανέλθει, ενώ για έναν ασθενή με γρίπη αρκούν οκτώ ημέρες.

Τα στοιχεία που συνέλλεξε η έρευνα αφορούν το διάστημα Μαρτίου – Απριλίου το 2020, για τους ασθενείς με κορονοϊό, και το διάστημα Δεκεμβρίου 2019 – Φεβρουαρίου 2020, για τους ασθενείς της γρίπης. Τα συγκεκριμένα δεδομένα αφορούν ενήλικες, καθώς σε ό,τι αφορά τους ανήλικους τα πράγματα είναι διαφορετικά.
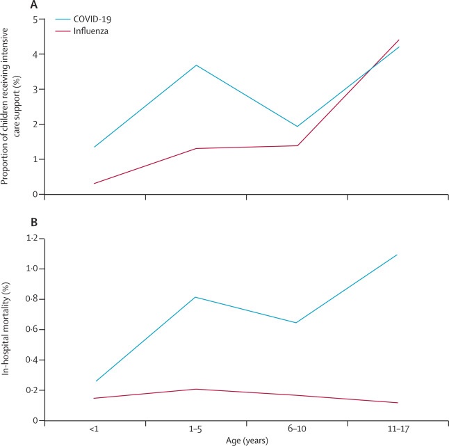
Είναι ενδεικτικό πως μόλις το 1,4% των παιδιών έπασχε από κορονοϊό, ενώ από γρίπη έπασχε το 19,5%. Στα παιδιά κάτω των πέντε ετών, πάντως, η πιθανότητα να μεταφερθούν σε ΜΕΘ ενώ έχουν νοσήσει από κορονοϊό ανέρχεται σε 2,3% ενώ αν έχουν νοσήσει από γρίπη μειώνεται στο 0,9%...
Δείτε την έρευνα που δημοσιεύτηκε στο The LancetΕιδήσεις από την Ελλάδα και τον Κόσμο, τη στιγμή που συμβαίνουν, στο Newsbomb.gr.
Διαβάστε επίσης:
Καθολικό lockdown και στην Κοζάνη - Αυτά είναι τα μέτρα που τίθενται σε ισχύ